 |
|
 |
| |
ENTROPÍA
LUDWIG BOLTZMANN |
|
| |

Ludwig Boltzmann
La principal aportación de este físico austriaco fue la de encontrar fundamento estadístico a las leyes de la Termodinámica. Fue uno de los fundadores de la Mecánica Estadística consiguiendo explicar las propiedades macroscópicas de la materia mediante el estudio del comportamiento de sus partículas con métodos estadísticos y probabilísticos.
Para Boltzmann el movimiento de los átomos y sus interacciones determinaban las propiedades macroscópicas medibles. Su manera de abordar estos problemas exigía el tratamiento de grandes conjuntos de partículas con métodos estadísticos. Este planteamiento fue rechazado por muchos científicos contemporáneos (por ejemplo Ostwall o Mach) que consideraban las leyes de la naturaleza desde un punto determinista y no como resultado de un fenómeno probabilista.
En la década de 1870 fue capaz de explicar el segundo principio de la Termodinámica por aplicación de las leyes mecánicas al movimiento de los átomos, poniendo de manifiesto el carácter esencialmente estadístico de la entropía.

Boltzmann se suicidó en 1906, impulsado en parte por el rechazo de la comunidad científica a sus planteamientos. En la lápida de su tumba está grabada su famosa fórmula que relaciona la entropía con el número de microestados. |
- ¿Qué es la Termoquímica?
- Calor y trabajo
- Energía Interna
- Primer Principio Termodinámica
- Calor a volumen y a presión constantes
- Entalpía estándar de reacción
- Procesos Espontáneos
- Procesos reversibles.
- Máquinas térmicas. Ciclo Carnot
- Entropía. Segundo Principio Termodinámica
- Cambios de Entropía
- Entropía. Boltzmann
- Entropía absoluta. Tercer Principio de la Termodinámica
- Espontaneidad reacciones químicas. Entropía
- Espontaneidad reacciones químicas. Energía Libre Gibbs
- Balance energético pila combustible
- Caracterización funciones termodinámicas |
LA ENTROPÍA DESDE UN PUNTO DE VISTA ESTADÍSTICO
De acuerdo con Boltzmann, la entropía es una función de estado que mide el número de microestados compatibles con un determinado estado del sistema termodinámico.
S = k ln Ω
donde S es la entropía, k es la constante de Boltzmann (k = 1,38·10-23 J/K) y Ω es el número de microestados.
En su opinión, por tanto, la entropía indica el número de formas diferentes en las que la energía térmica del sistema (macroestado) puede ser repartida entre los microestados compatibles. La configuración más probable de un sistema es la de mayor entropía, o sea, la de mayor número de microestados. |
INCISO : ¿Por qué la entropía del sistema es proporcional al logaritmo del número de microestados?
Si el número de microestados Ω mide la probabilidad de un determinado macroestado, ¿por qué no se utiliza directamente Ω? ¿por qué en su lugar se define una nueva magnitud S, entropía, de la forma que indica la ecuación de Boltzmann?. El problema que tienen las probabilidades es que no son aditivas. Por ejemplo, si repartimos cuatro partículas entre dos cajas, la probabilidad de que una partícula de las cuatro se encuentre sola en una caja es ¼. Si en lugar de una partícula queremos que haya dos en la misma caja la probabilidad no es la suma de ¼ + ¼. En lugar de ello sería el producto ¼ · ¼ = 1/16. Si queremos definir una magnitud extensiva, se necesita una magnitud S(Ω) que cuando se duplique la masa del sistema también ella se duplique. Esta función debe cumplir que cuando se mezclen, por ejemplo, dos sistemas iguales, la entropía total sea la suma de las entropías individuales Stotal = S1 + S1. Si tenemos en cuenta que Stotal = S(Ωtotal), S1 = S(Ω1) y que Ωtotal = Ω1 · Ω1 ; la función que estamos buscando debe satisfacer la relación: S(Ω1· Ω1) = S(Ω1) + S(Ω1). La única función que satisface ese requerimiento es la función logaritmo, ya que el logaritmo de un producto es la suma de los logaritmos.
|
INCISO: Entropía y desorden. Decir que la entropía mide el desorden de un sistema es engañoso y debe evitarse. En primer lugar, la entropía se aplica a sistemas de nivel molecular no a casos macroscópicos como barajas de cartas o habitaciones donde orden y desorden tienen un significado claro. En segundo lugar, un aumento de entropía en un sistema molecular viene acompañado de un aumento de los microestados posibles pero eso no tiene nada que ver con lo que entendemos por orden o desorden. Por ejemplo, si aumentamos la masa de las partículas de un gas (en las mismas condiciones de presión, temperatura, ..) se produce un aumento de microestados posibles y, en consecuencia, de entropía. |
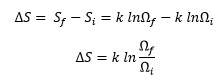
Como la entropía es una función de estado, si el sistema pasa de un estado a otro, el cambio de entropía que experimenta solo depende del número de microestados inicial y final, con independencia del camino que haya seguido la transformación.

Si el número de microestados final es mayor que el inicial, la entropía aumenta
Si Ωf > Ωi entonces ∆S > 0 |
MACROESTADO Y MICROESTADOS
Macroestado: estado de un sistema termodinámico caracterizado por un valor concreto de variables como cantidad de materia (moles de partículas), T, H, P, V.
Sin embargo, todos los sistemas termodinámicos están formados por partículas que eventualmente pueden interaccionar. De esta forma, aunque la energía total del sistema no cambie, sí lo pueden hacer las energías individuales de sus partículas. Un macroestado puede ser compatible con un número enorme de microestados, es decir, de disposiciones concretas de las partículas en un instante dado.
Microestado: cada una de las disposiciones instantáneas de las partículas del sistema compatible con la energía del macroestado.
Ejemplo: Cuatro partículas repartidas entre dos cajas

Imaginemos un sistema formado por dos cajas (n) y cuatro partículas (N). El número de microestados posibles es nN = 24 = 16. Cada uno de ellos tienen la misma probabilidad de manifestarse. Sin embargo, vemos que los 16 microestados pueden agruparse en 5 configuraciones (por ejemplo: cuatro partículas en una caja y ninguna en la otra, ...) La probabilidad de que el sistema adopte una de las configuraciones (A, B, C, D, E) mostradas en la figura depende del número de microestados que tenga cada una de ellas. La configuración con mayor probabilidad es aquella en la que cada caja tiene dos partículas: 6 posibilidades de un total de 16. La configuración con menor probabilidad de existir es aquella en la que las cuatro partículas están en la misma caja: 1 posibilidad de 16.
Probabilidad de la configuración C = 6/16 = 3/8
Probabilidad de la configuración A o E = 1/16
Si el número de partículas aumentara hasta alcanzar un orden de magnitud comparable al número de Avogadro (1023) la diferencia de probabilidad entre las configuraciones del sistema sería mucho mayor.
Ejemplo 1: 1 mol de hielo y de agua a 273 K
La entropía de un mol de agua sólida (hielo) a 273 K es 41,3 J/molK. En el caso de agua líquida a esa misma temperatura, la entropía es 63,3 J/molK. A la misma temperatura, 273 K, el agua líquida tiene más entropía que el agua sólida porque en la primera hay más microestados que en la segunda. Eso es fácil de entender, ya que en el caso del sólido los microestados se diferencian en base a las vibraciones (a gran velocidad) de las moléculas de agua en torno a sus posiciones de equilibrio. Sin embargo, en el líquido los microestados se diferencian en base a traslaciones moleculares que se producen a velocidades comparables a las que tienen las moléculas de agua en estado gas (del orden de 1500 km/h). Pero, ¿de cuántos microestados estamos hablando? La ecuación de Boltzmann permite calcular su número: S = k ln Ω ,
Número microestados en 1 mol de agua sólida a 273 K
Ω = 101299000000000000000000000
Número microestados en 1 mol de agua líquida a 273 K
Ω = 101991000000000000000000000
Son unos números tan grandes que cuesta imaginarlos.

|
NIVELES DE ENERGÍA Y MICROESTADOS
A continuación vamos a plantearnos cómo podemos distribuir la energía de un sistema molecular entre sus partículas. Pero antes debemos clarificar algunas cuestiones.

La energía térmica se define muchas veces como la energía cinética de las moléculas que componen un sistema. Sin embargo, esta energía cinética puede tener como origen tres circunstancias diferentes: traslación, rotación y vibración, dependiendo de la complejidad estructural de la molécula. En cualquiera de los casos, esa energía está cuantizada, pero hay diferencias entre los intervalos de energía que separan unos niveles y otros. Las energías típicas de los estados de traslación, rotación y vibración son del orden de 10-17 J ; 300 J y 30 kJ, respectivamente. Por lo tanto, los estados energéticos más próximos son los de traslación, luego (muy lejos) los de rotación y, por último, los más separados, son los de vibración. La diferencia de energía entre niveles de energía traslacional es tan pequeña, que en la práctica la energía traslacional puede considerarse continua. La figura muestra esos estados (no a escala) en una molécula diatómica, comparándolos con la energía de que dispondría la molécula a una temperatura dada (banda de color sepia). Se puede comprobar que la mayor parte de los niveles accesibles a la molécula son de traslación, luego en mucha menos proporción los de rotación y, al final los de vibración.
¿De qué depende el espaciado entre los niveles de energía?
El espaciado entre los niveles energéticos depende de diversas variables, en particular, la masa y complejidad de la molécula y el volumen del recipiente que contiene el gas. Por ejemplo, ese espaciado se hace menor (niveles más empaquetados) a medida que la masa de la molécula y el número de enlaces aumentan, de forma que se puede decir que cuanto más compleja sea la molécula, mayor es la densidad de estados energéticos.

De igual manera, de acuerdo con el modelo de una partícula en una caja, la separación entre los niveles de energía de un gas confinado en una caja depende del inverso del cuadrado de la longitud de la caja (y del inverso de la masa de la partícula). Por ello, es previsible que cuando se aumente el volumen del sistema, el espaciado entre los niveles energéticos también disminuya.

Una vez aclarados ciertos aspectos de las niveles de energía permitidos a las moléculas de los sistemas termodinámicos, podemos plantearnos el cálculo del número de microestados Ω correspondientes a un macroestado dado caracterizado por N osciladores y q unidades de energía. En el modelo más simple, el denominado sólido de Einstein, la estadística básica nos indica lo siguiente:

EJEMPLO: Determinar los microestados de un sistema formado por tres moléculas que se reparten tres cuantos de energía
En el caso de 3 moléculas y 3 cuantos de energía para repartir entre ellas se obtienen las 10 posibilidades descritas en la figura. Los microestados que describen distribuciones similares se agrupan formando configuraciones [Configuración: conjunto de microestados que poseen idéntica distribución de energía entre los niveles accesibles (aunque en moléculas diferentes)].
En nuestro ejemplo hay 3 configuraciones, en la primera, una de las moléculas tiene los tres cuantos y las otros dos ninguno; en la segunda, hay una molécula con dos cuantos y otra molécula con 1; y en la tercera, cada molécula tiene un cuanto de energía. Como todos los microestados son igualmente probables, la probabilidad de una configuración es proporcional al número de microestados que posee. De esta manera la configuración 2 se dará en el 60 % de los casos y la 3 en el 10 %.
|
¿Qué ocurre con la energía si ponemos dos sólidos en contacto?
En este caso tendríamos un sistema formado por dos subsistemas cada uno con tres osciladores. La energía total del sistema serían seis cuantos. El número de microestados del sistema formado por N = 6 moléculas con q = 6 cuantos de energía es de 462, que se distribuyen de la siguiente manera:

Se comprueba que la distribución más probable de la energía entre los dos subsistemas es de tres unidades en cada uno de ellos, con independencia de la distribución inicial de energía desde la que partamos. Si el sistema se haya inicialmente en un macroestado muy poco probable en el que los seis cuantos de energía se encuentran en un susbsistema y en el otro no hay ninguno, las interacciones entre partículas modificarán el macroestado hasta llevarlo al más probable, aquel que contiene la misma cantidad de energía en cada subsistema.
Cuando el número de moléculas y de cuantos se incrementa, el número de microestados accesibles crece explosivamente. Para 1000 moléculas y 1000 cuantos, es del orden de 10600. En estas condiciones el número de configuraciones es tan grande que la diferencia de probabilidad entre la más probable y todas las demás es tan grande que, en la práctica, solo ella es observable.
En definitiva: cualquier conjunto de moléculas de una sustancia química tendrá su energía térmica repartida entre un inimaginablemente grande número de microestados. El número de microestados aumenta a medida que más estados energéticos sean accesibles por:
-
Adición de nuevos cuantos de energía (aumento de temperatura)
-
Aumento del número de moléculas (por disociación, por ejemplo)
-
Aumento del volumen del sistema (ya que disminuye el espaciado entre los niveles de energía, permitiendo que más de ellos puedan ser poblados a una determinada temperatura).
|
ENTROPÍA Y MICROESTADOS

¿Qué le ocurre a la energía potencial de un libro que cae desde una cierta altura sobre una mesa? ¿desaparece? ¿por qué deja de ser utilizable?
Cuando el libro impacta sobre la mesa, la energía cinética que posee se transforma en energía térmica en el libro y en la mesa. La cantidad total de energía sigue siendo la misma que antes del impacto pero ya es irrecuperable. Los cuantos de energía han poblado los niveles permitidos en las moléculas de ambos cuerpos adoptando la configuración más probable. Dado el número de partículas que interviene, una vez que la energía se ha extendido a la gran cantidad de microestados térmicos, es absolutamente improbable que esos cuantos adopten otra configuración. Esta conclusión puede extenderse a cualquier fenómeno en el que la energía mecánica se transforme en energía térmica.
¿A qué se debe la tendencia que tienen los gases a ocupar todo el volumen que los contiene? ¿Por qué los gases se expanden de manera espontánea?.
Esta pregunta puede ser respondida de dos maneras diferentes. Si atendemos al movimiento aleatorio de las moléculas del gas, se podría entender que terminaran llenando de manera uniforme todo el recipiente que las contiene. Sin embargo, desde un punto de vista energético es posible otra respuesta. Hemos visto que al aumentar el volumen disponible, la diferencia de energía entre los niveles energéticos permitidos en las moléculas se hace más pequeña. Eso provoca que a una determinada temperatura sean accesibles más niveles energéticos (están más empaquetados) y, por tanto, más microestados serían posibles. Esto provocaría que la configuración más probable después de la expansión lo fuera mucho más que antes de ella. La expansión del gas puede entenderse como consecuencia de la tendencia de la energía térmica a extenderse y compartirse lo más posible. Una vez que esto ha sucedido, la probabilidad de recuperar otra configuración (contracción) es inexistente.

¿Por qué el calor fluye desde un cuerpo caliente a uno frio?
Antes hemos visto que cuando la energía puede fluir entre dos cuerpos iguales, el estado con mayor número de microestados es aquel en el que ambos cuerpos tienen la misma cantidad de energía. La opción de que uno de ellos mantuviera una mayor cantidad de energía que el otro es mucho menos probable, por eso no se da.
Si un cuerpo tiene una temperatura más alta que el otro, la energía fluye hasta que se alcanza el equilibrio térmico. En el estado de equilibrio los intercambios de energía entre las partículas de ambos cuerpos se siguen produciendo pero no dan lugar a cambios en la temperatura.
El equilibrio térmico se produce cuando el número de microestados (o la entropía) alcanza su valor máximo.

¿Por qué aumenta la entropia en el sentido de sólido a líquido y a gas?
A baja temperatura solo son accesibles los microestados del sólido, que están separados mucho a causa de su origen en las vibraciones de las partículas en la estructura. Cuando la temperatura alcanza el punto de fusión, se igualan los microestados accesibles en el sólido y en el líquido y el sistema está en equilibro. Los microestados del líquido están más próximos entre sí porque su origen son vibraciones, rotaciones y traslaciones (a corta distancia). Después del punto de fusión, el aumento de temperatura hace que los microestados accesibles en el líquido sean más numerosos que en el sólido. Eso provoca que ya no exista equilibrio entre las fases.

La siguiente figura compara los niveles enegéticos antes, durante y después de la fusión. Durante la fusión hay el mismo número de microestados ocupados en el sólido y en el líquido. Antes de la fusión son más numerosos en el sólido y después de la fusión en el líquido.

|