VIBRACIONES Y ONDAS

ENTORNO CONSTRUCTIVISTA DE APRENDIZAJE



ESPACIO DE MANIPULACIÓN

MOVIMIENTO ARMÓNICO SIMPLE

CONTEXTO DEL PROBLEMA

OSCILADOR LIBRE

PERIODO DEL MAS (1) (PÉNDULO)

PERIODO DEL MAS (2) (SISTEMA MUELLE-MASA)

PERIODO, AMPLITUD Y CONDICIONES INICIALES (FRECUENCIA Y FRECUENCIA ANGULAR)

ECUACIÓN DE MOVIMIENTO DEL MAS (1) (FASE INICIAL)

ECUACIÓN DE MOVIMIENTO DEL MAS (2) (DETERMINACIÓN)

VELOCIDAD Y ACELERACIÓN EN EL MAS

COMPOSICIÓN DE MOVIMIENTOS ARMÓNICOS SIMPLES

¿QUÉ FUERZA PROVOCA EL MAS? (1) (MUELLE)

¿QUÉ FUERZA PROVOCA EL MAS? (2) (OTROS MAS)

CARACTERIZACIÓN ENERGÉTICA DEL OSCILADOR LIBRE

OTROS SISTEMAS CON MAS

OSCILADOR AMORTIGUADO

OSCILADOR AMORTIGUADO ¿SON ARMÓNICAS LAS OSCILACIONES AMORTIGUADAS? (PERIODO)

OSCILADOR AMORTIGUADO ¿QUÉ OCURRE CON SU ENERGÍA?

OSCILADOR FORZADO

OSCILADOR FORZADO. RESONANCIA (1)

OSCILADOR FORZADO. RESONANCIA (2)

DE LAS OSCILACIONES A LAS ONDAS

MODO DE VIBRACIÓN

MOVIMIENTO ONDULATORIO

CONTEXTO DEL PROBLEMA

DESCRIPCIÓN MATEMÁTICA DEL MOVIMIENTO ONDULATORIO (1). (FUNCIÓN DE ONDA)

DESCRIPCIÓN MATEMÁTICA DEL MOVIMIENTO ONDULATORIO (2). (FUNCIÓN DE ONDA ARMÓNICA)

SUPERPOSICIÓN DE ONDAS ARMÓNICAS. INTERFERENCIA

PROPIEDADES DE LAS ONDAS REFLEXIÓN Y REFRACCIÓN(1)


PROPIEDADES DE LAS ONDAS REFLEXIÓN Y REFRACCIÓN(2)

PROPIEDADES DE LAS ONDAS DIFRACCIÓN

PROPIEDADES DE LAS ONDAS EFECTO DOPPLER

EJEMPLOS RELACIONADOS

FUENTES DE INFORMACIÓN

HERRAMIENTAS COGNITIVAS

HERRAMIENTAS DE COLABORACIÓN

OSCILADOR FORZADO

RESONANCIA (2)

Dada la complejidad del comportamiento del oscilador forzado, merece la pena que profundicemos en su comportamiento con ayuda de otro applet. En este caso se trata de una simulación del Curso de Física por Ordenador de Ángel Franco

El applet representa las oscilaciones de un muelle de frecuencia natural ωo= 100 rad/s que está siendo sometido a una fuerza periódica de amplitud F y frecuencia ω variable.





1.- Las oscilaciones forzadas pasan por dos fases, una inicial transitoria en la que la amplitud cambia con el tiempo y otra estacionaria en la que la amplitud tiene siempre el mismo valor.

Compruebe con ayuda del applet la existencia de esas fases y, sobre todo, estudie el efecto que tiene el coeficiente de amortiguamiento sobre el tiempo que tarda en llegar la fase estacionaria.

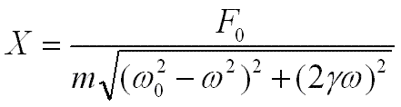
2.- La amplitud del oscilador forzado durante la fase estacionaria depende de la frecuencia de oscilación de la fuerza periódica aplicada. Este hecho es muy importante y pondrá de manifiesto el fenómeno de resonancia.

Compruebe con ayuda del applet que la amplitud de las oscilaciones forzadas en la fase estacionaria son máximas cuando la frecuencia de la fuerza periódica aplicada es la misma que la frecuencia natural del oscilador, disminuyendo a medida que nos alejamos de ella en uno u otro sentido





ENERGÍA DEL OSCILADOR FORZADO


En resonancia, la excitación comunica al sistema la misma energía que éste pierde por efecto del rozamiento. En consecuencia, la energía del sistema permanece constante durante la fase estacionaria.


Fuera de resonancia, la excitación a veces entrega energía al sistema y a veces se la quita. En consecuencia, la energía del sistema cambia con el tiempo, aunque en promedio permance constante durante la fase estacionaria.


Compruebe con ayuda del applet que en la fase estacionaria la energía permanece constante en caso de resonancia, y que cambia con el tiempo (aumentando y disminuyendo), aunque su valor medio sea constante, fuera de resonancia






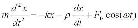
ECUACIÓN DE MOVIMIENTO DEL OSCILADOR FORZADO

Sobre el oscilador forzado actúan tres fuerzas. La fuerza elástica, la fuerza de fricción proporcional a la velocidad y la fuerza externa periódica.



La solución general de esta ecuación diferencial en el caso de subamortiguación es:







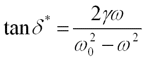
suma de dos términos, el primero referido al estado transitorio, que desaparece al poco tiempo, y el segundo correspondiente al estado estacionario. Por ello, al cabo de cierto tiempo, el comportamiento del oscilador forzado puede describirse por la función:



donde la frecuencia angular de oscilación del sistema ω es igual a la que tiene la fuerza de excitación, y la amplitud y el desfase no dependen de las condiciones iniciales sino de características del sistema y del valor de la fuerza aplicada.







Como cabría esperar, la amplitud y el desfase durante la fase transitoria sí dependen de las condiciones iniciales.