VIBRACIONES Y ONDAS

ENTORNO CONSTRUCTIVISTA DE APRENDIZAJE



ESPACIO DE MANIPULACIÓN

MOVIMIENTO ARMÓNICO SIMPLE

CONTEXTO DEL PROBLEMA

OSCILADOR LIBRE

PERIODO DEL MAS (1) (PÉNDULO)

PERIODO DEL MAS (2) (SISTEMA MUELLE-MASA)

PERIODO, AMPLITUD Y CONDICIONES INICIALES (FRECUENCIA Y FRECUENCIA ANGULAR)

ECUACIÓN DE MOVIMIENTO DEL MAS (1) (FASE INICIAL)

ECUACIÓN DE MOVIMIENTO DEL MAS (2) (DETERMINACIÓN)

VELOCIDAD Y ACELERACIÓN EN EL MAS

COMPOSICIÓN DE MOVIMIENTOS ARMÓNICOS SIMPLES

¿QUÉ FUERZA PROVOCA EL MAS? (1) (MUELLE)

¿QUÉ FUERZA PROVOCA EL MAS? (2) (OTROS MAS)

CARACTERIZACIÓN ENERGÉTICA DEL OSCILADOR LIBRE

OTROS SISTEMAS CON MAS

OSCILADOR AMORTIGUADO

OSCILADOR AMORTIGUADO ¿SON ARMÓNICAS LAS OSCILACIONES AMORTIGUADAS? (PERIODO)

OSCILADOR AMORTIGUADO ¿QUÉ OCURRE CON SU ENERGÍA?

OSCILADOR FORZADO

OSCILADOR FORZADO. RESONANCIA (1)

OSCILADOR FORZADO. RESONANCIA (2)

DE LAS OSCILACIONES A LAS ONDAS

MODO DE VIBRACIÓN

MOVIMIENTO ONDULATORIO

CONTEXTO DEL PROBLEMA

DESCRIPCIÓN MATEMÁTICA DEL MOVIMIENTO ONDULATORIO (1). (FUNCIÓN DE ONDA)

DESCRIPCIÓN MATEMÁTICA DEL MOVIMIENTO ONDULATORIO (2). (FUNCIÓN DE ONDA ARMÓNICA)

SUPERPOSICIÓN DE ONDAS ARMÓNICAS. INTERFERENCIA

PROPIEDADES DE LAS ONDAS REFLEXIÓN Y REFRACCIÓN(1)


PROPIEDADES DE LAS ONDAS REFLEXIÓN Y REFRACCIÓN(2)

PROPIEDADES DE LAS ONDAS DIFRACCIÓN

PROPIEDADES DE LAS ONDAS EFECTO DOPPLER

EJEMPLOS RELACIONADOS

FUENTES DE INFORMACIÓN

HERRAMIENTAS COGNITIVAS

HERRAMIENTAS DE COLABORACIÓN

MOVIMIENTO ONDULATORIO

REFLEXIÓN Y REFRACCIÓN (2)

¿Por qué ocurre la refracción? ¿Por qué la refracción obedece la ley de Snell?

La respuesta hay que encontrarla en el principio de Fermat. La luz, o cualquier otro fenómeno ondulatorio, se desplaza entre dos puntos por el camino que emplee el menor tiempo posible.

Imagine que está cómodamente sentado en la arena de la playa a una cierta distancia de la orilla y que en un determinado momento escucha como alguien desde el agua pide su ayuda. Diligentemente usted se levanta y corre a prestar socorro.

En ese momento le asalta una duda ¿en qué dirección debo correr para tardar el menor tiempo posible?. La pregunta tiene sentido porque cuando corre sobre la arena avanza más rápido que cuando nada sobre el agua. Sabe que en la arena debe correr en línea recta y que en agua debe nadar en línea recta, pero ¿en qué punto de la orilla debe entrar en el agua?

Trate de dar respuesta a la cuestión usando el siguiente applet

Presione sobre la tecla Nuevo. Suponga que su posición es la del punto azul en la región amarilla y ha de trasladarse hasta la posición del punto azul de la región azul. Asigne una velocidad A mayor que la velocidad B (arena más rápida que agua) y, a continuación, presione Trazar. El applet le dibuja la trayectoria que llega de A a B y pasa por el punto rojo de separación de los medios, calculando el tiempo que emplearía en el trayecto. Haciendo click con el botón izquierdo del ratón sobre el punto rojo puede desplazarlo a la derecha o la izquierda. Si le da de nuevo a Trazar el applet repite los cálculos comparando el nuevo tiempo con el anterior. Repita la estrategia hasta que el tiempo empleado sea mínimo. Entonces el applet le informa del ángulo de incidencia y del ángulo de refracción.

Compruebe que los datos suministrados por el applet cumplen la ley de Snell para la refracción

v1 sen θ1 = v2 sen θ2


n2 sen θ1 = n1 sen θ2


¿Encuentra similitud entre la situación planteada en el applet y la que ocurre cuando la luz pasa del aire al agua?







PROFUNDIZANDO EN LA REFLEXIÓN Y REFRACCIÓN DE ONDAS

Un movimiento ondulatorio que incide sobre la superficie que separa dos medios de distintas propiedades mecánicas, ópticas, etc., en parte se refleja y en parte se transmite.

La velocidad de propagación de las ondas cambia al pasar de un medio a otro, pero no cambia la frecuencia angular w.


Cuando una onda pasa de un medio más ligero (mayor velocidad) a otro más denso (menor velocidad):

- La onda transmitida (que pasa al otro medio) tiene menor amplitud que la onda incidente

- La onda reflejada (que queda en el mismo medio) tiene la fase invertida con respecto a la onda incidente

Cuando una onda pasa de un medio más denso (menor velocidad) a otro menos denso (mayor velocidad)

- La onda transmitida (que pasa al otro medio) tiene mayor amplitud que la onda incidente

- La onda reflejada (que queda en el mismo medio) tiene la misma fase que la onda incidente


El siguiente applet del curso de Física con ordenador de A. Franco, permite cuantificar estos fenómenos. Además en lugar de observarlo con un pulso, lo veremos con una onda continua.



Introduzca un valor para la frecuencia, que será la misma para todas las ondas. Introduzca un valor a la velocidad del medio 1 y otro para la velocidad del medio 2. Haga click sobre el botón Empieza.

La novedad más evidente es que en el medio 1 le aparecen tres ondas: la incidente (rosa), la reflejada (roja) y la suma de ambas (azul). La interferencia entre la onda incidente y la reflejada produce una onda (azul) que tiene continuidad en el otro medio (onda transmitida).

Asigne f = 0,5 , v1 = 2.0 y v2= 0

Compruebe que no hay transmisión de la onda al medio 2. Toda la onda incidente se refleja y, como cambia de fase, al sumarse a la onda incidente da lugar a una onda estacionaria en el medio 1.

Asigne f = 0,5 , v1 = 2.0 y v2= 2.0

Compruebe que la onda pasa de un medio a otro sin alteración alguna, es como si existiera un único medio.

Asigne f = 0,5 , v1 = 2.0 y v2= 1.0

La onda viaja más rápida en el medio 1 que en el 2.

Compruebe que la onda reflejada (roja) está en oposición de fase con respecto a la onda incidente (rosa) (cuando una aumenta su elongación la otra la disminuye -use el botón Paso-) . La suma de ambas en el medio 1 no da lugar a una onda estacionaria (fíjese que la onda azul en el medio 1 avanza de izquierda a derecha).

Compruebe que la longitud de onda de la onda transmitida es la mitad que la de la onda incidente, reflejada o suma de ambas

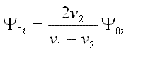
Compruebe que las amplitudes de las ondas reflejada y transmitida están relacionadas con la amplitud de la onda incidente por las siguientes relaciones:

La onda reflejada tendría 1/3 de la amplitud de la onda incidente

La onda transmitida tendría 2/3 de la amplitud de la onda incidente


Asigne f = 0,5 , v1 = 1.0 y v2= 2.0

La onda viaja más lenta en el medio 1 que en el 2.

Compruebe que la onda reflejada (roja) está en fase con respecto a la onda incidente (rosa) (cuando una aumenta su elongación la otra la también la aumenta -use el botón Paso-) . La suma de ambas en el medio 1 no da lugar a una onda estacionaria (fíjese que la onda azul en el medio 1 avanza de izquierda a derecha).

Compruebe que la longitud de onda de la onda transmitida es el doble que la de la onda incidente, reflejada o suma de ambas

Compruebe que las amplitudes de las ondas reflejada y transmitida están relacionadas con la amplitud de la onda incidente por las siguientes relaciones:

La onda reflejada tendría 1/3 de la amplitud de la onda incidente

La onda transmitida tendría 4/3 de la amplitud de la onda incidente