ÁCIDOS POLIPRÓTICOS

 

 
 

Ácido Sulfúrico --------------Ácido Fosfórico

Los ácidos polipróticos tienen más de un hidrógeno ionizable

 

INDICE

- Propiedades

-Teoría de Arrhenius

- Teoría de Bronsted-Lowry

- Teoría de Lewis

- Concepto de pH

- Ácidos y bases fuertes

- Ácidos y bases débiles

- Ácidos polipróticos

- Hidrólisis de sales

- Disoluciones amortiguadoras

- Indicadores. Valoración ácido-base

La concentración de las formas molecular e iónicas de un ácido poliprótico cambian con el pH de la disolución. A pH bajos abundan las formas con mayores contenido de hidrógeno y a pH altos abundan las formas con menores contenido de hidrógeno.

Para el ácido fosfórico: pKa1= 2,15 ; pKa2 = 7,2 y pKa3 = 12,15

Por tanto, el punto con pH=pKa1está justo en la mitad del primer punto de equivalencia. Lo mismo podría decirse de pKa2 con respecto al segundo punto de equivalencia y de pKa3 para el tercero.

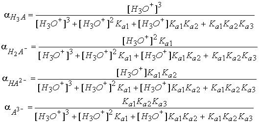
En general, las fracciones relativas de las distintas formas de un ácido poliprótico se pueden obtener a partir de las siguientes ecuaciones, obtenidas de un balance de materia y de las constantes de equilibrio:

En el caso de los ácidos polipróticos, el pH se calculará después de determinar la concentración total de iones hidronio, es decir, la suma de las concentraciones de iones hidronio que producen cada uno de los procesos de desprotonación. En la práctica tratamos los equilibrios de ionización de forma secuencial. Los resultados del primer equilibrio sirven como datos de partida para el segundo, y los resultados del segundo equilibrio sirven como datos de partida para el tercero. Hay que tener en cuenta que a medida que un ácido poliprótico pierde protones, se convierte en otros ácidos más débiles. Por ejemplo, el ácido sulfúrico es un ácido fuerte en la primera desprotonación, el primer protón se pierde por completo, formándose el ion hidrógeno sulfato. Sin embargo, este ion no es un ácido fuerte en la segunda desprotonación, el segundo protón no se pierde por completo, estableciéndose un equilibrio y quedando en el medio acuoso una cierta cantidad de ion hidrógeno sulfato sin ionizar.

Determinar las concentraciones de todas las especies presentes y el pH de una disolución 0,02 M de ácido sulfúrico

En el primer equilibrio el ácido sulfúrico es un ácido fuerte que se ioniza por completo. Por tanto, la determinación de la concentración de iones hidronio que se producen es inmediata

En el segundo equilibrio el ion hidrógeno sulfato no se comporta como un ácido fuerte y sólo se ioniza parcialmente. Su constante de acidez es Ka=0,01. En esta segunda ionización hay que tener en cuenta las concentraciones iniciales de ion hidrógeno sulfato y de ion hidronio.

El pH resultante no es 1,40 que fue el que obtuvimos suponiendo que en ambas etapas la desprotonación era completa. Esta diferencia (0,19 unidades de pH) se debe a que el ion hidrógeno sulfato no es un ácido fuerte disociado completamente.

Determinar las concentraciones de todas las especies en el equilibrio y el pH de una disolución 0,08 M de ácido fosfórico (H3PO4). Las sucesivas constantes de acidez son: Ka1=7,5·10-3 ; Ka2=6,2·10-8 y Ka3=2,2·10-13

Los sucesivos equilibrios se tratatarán secuencialmente

[H3PO4] = 0,059 M

Estos datos sirven de partida para el segundo equilibrio

y estos datos sirven de partida para el tercer equilibrio

En definitiva, los resultados son los siguientes:

Del ácido fosfórico original queda [H3PO4] = 0,059 M sin ionizar, y de los iones formados:

Realmente solo el primer equilibrio aporta una cantidad significativa de protones al medio. Los iones dihidrógenofosfato e hidrógenofosfato son muy débiles en comparación con el ácido fosfórico.