ENLACE IÓNICO

ESTUDIO ENERGÉTICO DE LA FORMACIÓN DE UN CRISTAL IÓNICO. ENERGÍA RETICULAR

 
 

ENERGÍA RETICULAR ES LA ENERGÍA DESPRENDIDA EN LA FORMACIÓN DE UN MOL DEL SÓLIDO IÓNICO A PARTIR DE LOS IONES EN ESTADO GASEOSO.

CICLO DE BORN-HABER

Fritz Haber y Max Born

Desde el punto de vista energético, la formación del cristal iónico en estado estándar a partir de los elementos que lo forman (también en estado estándar), puede entenderse como el resultado de un paso único (que libera la entalpía de formación estándar del cristal) o de la combinación de dos pasos, uno que sería la formación de los iones gaseosos en estado estándar (que absorbe la entalpía de formación de esos iones) y otro que sería la formación del cristal en estado estándar a partir de los iones gaseosos también en estado estándar (que libera la energía reticular). La combinación de ambos caminos forma un proceso cíclico, conocido como ciclo de Born-Haber.

¿Cómo se puede calcular la entalpía de formación de los iones en estado gaseoso?. La respuesta es simple: imaginando un proceso que nos lleve desde los elementos en estado estándar hasta los iones gaseosos en estado estándar. En el caso del NaCl habría que tener en cuenta los siguientes procesos:

- Sublimación del sodio: Energía requerida para que un mol de sodio sólido pase a sodio en estado gaseoso

- Primera energía de ionización del sodio: Energía requerida para arrancar el electrón más externo a un mol de átomos de sodio en estdo gaseoso

- Disociación del cloro molecular: Energía requerida para romper los enlaces de un mol de moléculas de cloro en estado gaseoso formando dos moles de átomos de cloro en estado gaseoso

- Afinidad electrónica del cloro (atómico): Energía requerida para que un mol de átomos de cloro en estado gaseoso ganen un electrón formando un mol de iones de cloro en estado gaseoso

 

 

ΔH0f (iones) = ΔH0sub(Na) + EI(Na) +½ ΔH0dis(Cl2) + AE (Cl)

Conocidas las entalpías de formación del cristal y la entalpía de formación de los iones en estado gaseoso, es fácil calcular la energía reticular aplicando la ley de Hess:

ΔH0f (cristal) = ΔH0f (iones) + U

La formación de un cristal iónico a partir de los elementos en estado estándar es un proceso exotérmico. Sin embargo la formación de los iones en estado gaseoso a partir de los elementos en estado estándar es un proceso endotérmico. La única explicación energética de la formación del cristal iónico es la enorme liberación de energía que debería producirse cuando los iones en estado gaseoso se unen para formar el cristal. Es decir, la estabilidad del cristal iónico debe estar estrechamente relacionada con la energía reticular.

Experimentalmente se observa que la energía reticular de un sólido iónico depende de la carga y del tamaño de los iones que lo forman.

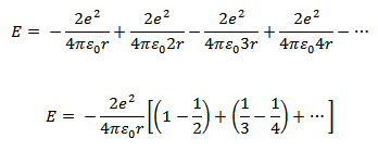
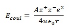
Este hecho se puede explicar teniendo en cuenta que la energía reticular no es más que la energía potencial de un conjunto de iones que han sido traídos desde el infinito hasta las posiciones que ocupan en la red cristalina. Un simple cálculo basado en la interacción electrostática que se establece entre los iones nos lleva a la siguiente expresión de la energía reticular:

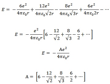
donde A es una constante (constante de Madelung) que depende de la estructura cristalina del sólido iónico, es decir, de las posiciones relativas (distancias) que hay entre los iones. En el caso del cloruro de sodio:

Por tanto:

El primer término de la serie tiene en cuenta que, con respecto al ion sodio central, se produce la atracción de dos iones cloro situados a una distancia r. El tercer término está referido a la atracción de dos iones cloro situados a una distancia 3r. Por otra parte los términos positivos se refieren a las repulsiones que se establecen entre el ion sodio central y el resto de iones sodio. Por ejemplo, el segundo término se refiere a la repulsión del ion sodio central con los dos iones sodio situados a una distancia 2r. El cuarto término se refiere a la repulsión con los dos iones sodio situados a una distancia 4r.

Cuando se tienen en cuenta un número suficientemente grande iones en tres dimensiones, la serie de números que aparece en la expresión anterior da lugar a la denominada constante de Madelung, que en el caso del cloruro de sodio vale: 1,747.

 

La ecuación anterior fue mejorada por Max Born y Alfred Lande, incluyendo el índice n que tiene en cuenta la compresibilidad del sólido.

 

INDICE

- Qué es el enlace químico

- Teorías acerca del enlace químico

-Tipos de enlace

-Enlace Iónico

- Estudio energético de la formación del enlace iónico. Energía reticular

-Enlace Covalente

- Teoría de Lewis y MRPECV

-Teoría del enlace-valencia y Hibridación

- Energía de disociación de enlace

- Polaridad molecular

- Fuerzas intermoleculares

- Enlace Metálico

 

 

 

 

 

Cálculo de la energía reticular de NaCl