ELECTROLISIS

 
 

La electrolisis es un proceso químico en el que la corriente eléctrica promueve una reacción que no es espontánea.

Conceptualmente, en la electrolisis ocurre lo contrario de lo que ocurre en una célula galvánica. En esta se produce corriente eléctrica a partir de una reacción espontánea y en una célula electrolítica se utiliza la corriente para provocar una reacción que no es espontánea. Por ejemplo, en condiciones estándar el hidrógeno se combina con oxígeno para producir agua. Sin embargo, si electrolizamos agua, provocamos su descomposición en hidrógeno y oxígeno.

Los componentes necesarios para realizar una electrolisis son los siguientes:

- Una fuente de corriente continua (pila)

- Dos electrodos, conectados a la fuente de alimentación. Uno estará conectado al polo positivo, será el ánodo y en él se producirá la oxidación. Otro estará conectado al polo negativo, será el cátodo y en él se dará la reducción.

- Una cuba electrolítica que contendrá una disolución en la que estarán inmersos los electrodos.

La siguiente simulación permite realizar el proceso electrolítico con diferentes electrodos y disoluciones. Por razones didácticas hemos escogido el siguiente ejemplo:

En este ejemplo tenemos una fuente de alimentación que suministra una corriente continua de 5 amperios y mantiene una difeferencia de potencial entre los electrodos de 2 V. Hay un electrodo de cobre unido al polo positivo de la fuente (rojo), por tanto, actúa como ánodo, en él ocurre la oxidación. Hay un electrodo de zinc unido al polo negativo de la fuente (negro), por tanto, actúa como cátodo, en el ocurre la reducción. La disolución en la que están inmersos ambos electrodos es de sulfato de zinc.

Las reacciones que ocurren en cada electrodo y la global en esta célula electrolítica son las siguientes:

El cobre del ánodo se disuelve, el electrodo pierde masa porque los átomos de cobre pasan a iones en disolución. Los iones de zinc de la disolución se reducen en el electrodo de zinc, aumentando la masa de este.

Como puede comprobarse, el paso de la corriente eléctrica está promoviendo una reacción que no es espontánea en condiciones estándar. El zinc se está reduciendo y el cobre se está oxidando. En condiciones estándar ocurre lo contrario y, gracias a ello, la pila Daniell tiene un potencial de 1,1 V.

En la pila Daniell, la reacción espontánea que ocurre es la siguiente:

Como hemos indicado, el potencial de esta pila es 1,10 V. Por tanto la variación de energía libre que se produce en ella es:

Seguramente no le extrañará que la electrolisis del ejemplo anterior sólo ocurra cuando la fuente de corriente externa mantiene una diferencia de potencial de 1,10 V. De hecho, la simulación le advertirá que es imposible la electrolisis con un potencial menor. Esto quiere decir que la reacción no espontánea, que sólo se produce cuando se aportan 212,3 kJ/mol cobre.

Esta otra simulación, muy semejante a la anterior, le puede ayudar a entender el fenómeno de la electrolisis

INDICE

- Electroquímica, reacciones redox

- Ajuste de reacciones redox

- Potencial estándar de reducción

- Células galvánicas. Pilas


- Electroquímica y termodinámica

- Ecuación de Nersnt

- Corrosión

- Electrolisis

 

 

PARECIDOS Y DIFERENCIAS ENTRE LAS CÉLULAS GALVÁNICA Y ELECTROLÍTICA

La figura compara las células electrolítica y galvánica. Como puede comprobar hay dos diferencias fundamentales:

1.-En la célula galvániva hay dos recipientes separados que contienen disoluciones. En la célula electrolítica solo hay un recipiente que contiene una única disolución.

2.- En ambas células la reducción ocurre en el cátodo y la oxidación en el ánodo. La diferencia está en la polaridad de los electrodos. En la célula galvánica el polo positivo es el cátodo y en la célula electrolítica el polo positivo es el ánodo.

Electrolisis de sales fundidas

1.- OBTENCIÓN DE CLORO Y SODIO

Los sólidos iónicos fundidos conducen bien la electricidad, por ello si se les introduce dos electrodos inertes (por ejemplo de grafito) conectados a una fuente de corriente continua se produce la electrolisis.

En esta célula electrolítica los aniones Cl- se dirigen al ánodo y los cationes Na+ se dirigen al cátodo. En ellos, las reacciones que ocurren son las siguientes:

Se produce, por tanto, una reacción no espontánea en condiciones estándar que convierte el cloruro de sodio en cloro gaseoso en el polo positivo (ánodo) y sodio metálico en el polo negativo (cátodo). El potencial mínimo necesario para que se produzca la electrolisis será:

Las instalaciones industriales son algo más complejas de lo que muestra la imagen anterior. En ellas el cloruro de sodio se mezcla con cloruro de calcio como fundente para rebajar la temperatura de fusión de la mezcla de cloruros a 600 ºC aproximadamente.

2.- OBTENCIÓN DE ALUMINIO

De manera similar al caso anterior, la obtención de aluminio se produce mediante la electrolisis de una mezcla de 5 % de alúmina (Al2O3) y 95 % de criolita (Na3AlF6) que funde aproximadamente a 1000 ºC (Proceso Hall-Herault). En 1886 Charles Martin Hall y Paul Heroult patentaron el proceso.

Tanto el cátodo como el ánodo son de carbono, y en ellos ocurren las siguientes reacciones:

 

Electrolisis del agua

El agua es un mal conductor de la electricidad, por ello es necesario mejorar su conductividad añadiendo, por ejemplo, una pequeña cantidad de Na2(SO4). Dada la naturaleza de esta sal, no se modifica el pH neutro del agua y las reacciones que ocurren en el ánodo y el cátodo son las siguientes:

¿Por qué las reacciones de oxidación y reducción las sufre el agua y no otras especies químicas presentes en el medio?.

Es una cuestión cinética, la abundancia de moléculas de agua frente a iones hidronio, hidroxilo, cloruro y sodio es tan enorme, que solo las moléculas de agua tendrán posibilidad real de interaccionar con los electrodos inertes.

Además, hay razones termodinámicas. El ion sodio es más difícil de reducir que el agua (-2,71 V frente a -0,83 V). El ion sulfato es más difícil de oxidar que la molécula de agua.

Para hacer la electrolisis del agua y observar claramente el desprendimiento de hidrógeno y oxígeno se puede utilizar una disolución de hidróxido de sodio. En el siguiente video se puede ver el resultado.

CAMBIOS DE pH EN TORNO A LOS ELECTRODOS

En el siguiente video se pueden observar los cambios de pH que tienen lugar en las proximidades de los electrodos. En el ánodo (polo positivo) se libera oxígeno y se producen iones hidronio. Su entorno es ácido. En el cátodo (polo negativo) se libera hidrógeno y se producen iones hidroxilo. Su entorno es básico. Todo ello se puede observar añadiendo un indicador ácido-base al medio.

Electrolisis de una salmuera

Cuando se electroliza una salmuera con una concentración elevada de NaCl (suele ser del orden de 25 %), la disolución, además de contener grandes cantidades de moléculas de agua, también contiene grandes cantidades de iones cloruro y sodio. ¿Qué reacciones se producen en el cátodo y en el ánodo?.

En el cátodo tenemos dos posibilidades:

Como las moléculas de agua se reducen con mucha mayor facilidad que los iones sodio, el proceso que se dará en el cátodo será la descarga de agua y la liberación de hidrógeno. Ojo: como subproducto se obtiene iones hidroxilo, que se irán almacenando en la cuba junto a los iones sodio (se está formando una disolución de NaOH, que alcaliniza el medio).

En el ánodo tenemos también dos posibilidades:

La reacción que se produce en el ánodo es la decarga de los iones cloruro, liberando cloro gaseoso. ¿Por qué no se oxida el agua a oxígeno?.

Termodinámicamente, en condiciones estándar, es más fácil la oxidación del agua que la del ion cloruro. Los potenciales estándar de reducción de los pares Cl2/Cl- y O2/H2O son, respectivamente, 1,36 V y 1,23 V. Si le damos la vuelta al proceso, y hablamos de oxidación, los potenciales de oxidación de ambos pares serían -1,36 V y -1,23 V. Por lo tanto es más difícil oxidar el ion cloruro que la molécula de agua. ¿Entonces por qué ocurre lo contrario?. Hay razones termodinámicas y cinéticas que lo explican. La primera es que los potenciales de electrodo reales en la salmuera no son iguales a los potenciales estándar. En el caso del par Cl2/Cl- el potencial disminuye en presencia de elevadas concentraciones de iones cloruro facilitando su oxidación y la formación de cloro. La segunda es el sobrepotencial que necesita el agua para descargarse. En condiciones reales, la molécula de agua (neutra, al contrario que el ion cloruro que está cargado negativamente) necesita de un sobrepotencial de aproximadamente 1 V para empezar a descargarse en el ánodo (polo positivo). Ambos fenómenos propician la descarga de los iones cloruro frente a la molécula de agua.

Sin embargo, la situación real es todavía más complicada, porque a medida que la alcalinidad de la disolución de salmuera aumenta, disminuye el potencial del par O2/H2O facilitándose la descarga del agua y la formación de oxígeno en lugar de cloro. Además empieza a tomar importancia la descarga de iones hidroxilo (el par O2/OH- tiene un potencial de reducción 0,40 V). En la práctica industrial hay que ajustar bien el potencial de la fuente externa y controlar el pH de la celda electrolítica. En cualquie caso, no se obtiene cloro puro sino una mezcla de gases que contiene algo menos del 10 % de oxígeno.

Por tanto, la reacción global en esta electrolisis de una salmurea de NaCl es:

Este proceso electrolítico produce hidrógeno, cloro y una disolución de hidróxido de sodio. Esta producción tiene más interés comercial que la de NaCl fundido ya que la venta de sodio metálico es mucho menor que hidróxido de sodio (sosa caustica). En la celda electrolítica hay que colocar una membrana que impida el contacto del cloro del ánodo con el NaOH que se produce en el cátodo. La reacción entre ambas sustancias formaría hipoclorito de sodio (lejía). Producto interesante pero que no debe formarse en la cuba electrolítica sino posteriormente.

 

Factores que afectan a la descarga selectiva de iones (usando eletrodos inertes)

1.- Descarga selectiva de cationes

La facilidad de descarga de los cationes depende de la posición del metal en la serie de reactividad. Cuanto más reactivo es un metal, más tendencia tendrá a formar cationes (más fácilmente se reduce), por tanto, cuanto más reactivo sea un metal, menos tendencia tendrán sus iones a ser descargados en el cátodo. Por ejemplo, los iones de sodio y potasio permanecerá en disolución frente al ion hidrógeno o iones de otros metales como cobre o plata.

Cuanto mayor sea el potencial estándar de reducción del par metal/catión metálico mayor será la tendencia de los cationes para descargarse.

2.- Descarga selectiva de aniones

La facilidad de descarga del anión también tiene que ver con los potenciales de electrodo. Los aniones se descargan en el polo positivo (ánodo) perdiendo electrones, es decir, oxidándose. Cuanto mayor sea su facilidad de oxidación mayor será su tendencia a descargarse. Sin embargo, hay que tener en cuenta que la tablas de potenciales de electrodo reflejan los potenciales de reducción. Hay que darle la vuelta para conocer sus potenciales de oxidación.

En general, la tendencia a la descarga de los aniones es la siguiente:

Los potenciales estándar de reducción de F2/F-, Cl2/Cl-, Br2/Br- y I2/I- son, respectivamente, 2,87 V, 1,36 V, 1,06 V, 0,53 V. Por tanto, la mayor tendencia a reducirse la tiene el flúor y la menor el iodo. Esto quiere decir que si le damos la vuelta y hablamos de oxidación, diríamos que el ion Ioduro es el más tendencia tiene a oxidarse y el ion Fluoruro el que menos. Por eso el ion ioduro se descarga con más facilidad que el fluoruo.

3.- Efecto de la concentración de los aniones

El aumento de la concentración de un ion favorece su descarga. Por ejemplo, en la electrolisis de la salmuera de NaCl se descarga con preferencia el ion cloruro aunque estén presentes los iones hidroxilo. Es una cuestión de probabilidad de chocar contra el electrodo.

REGLAS BÁSICAS

1.- Identificar los cationes y aniones que se producen en la electrolisis. Recordar en disolución acuosa siempre están presente los iones H+ y OH-

2.- En el ánodo, el producto de la electrolisis siempre será oxígeno salvo que el electrolito tenga elevadas concentraciones de los aniones Cl-, Br- o I-

3.- En el cátodo, los metales reactivos con sodio o potasio nunca serán producidos en disolución acusosa.Si el catión procede de un metal con menor potencial que el hidrógeno se liberará hidrógeno gaseoso. Si el potencial es mayor que el del hidrógeno, se depositará ese metal.

EJEMPLO

 

ELECTRODEPOSICIÓN DE METALES

Una de las aplicaciones industriales más importantes de la electrolisis es la electrodeposición de metales. Los dos casos más importantes son:

- Afino electrolítico de metales

- Galvanoplastia (p.e. cromado).

La reacción global consiste en el paso de cobre desde un electrodo de cobre impuro a otro de cobre puro. Los cátodos de cobre alcanzan purezas del 99,9 %. Los barros anódicos son reciclados para obtener de ellos otros metales como plata u oro.

La reacción global consiste en el paso de plata desde la lámina hasta la superficie del objeto que queremos recubrir. Además del plateado, es muy importante el cromado.

ASPECTOS CUANTITATIVOS DE LA ELECTROLISIS

Las cantidades de sustancias depositidas en los electrodos dependen de dos factores:

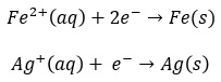
1.- Estequiometría del proceso

Por ejemplo, para depositar un mol de hierro es necesario que por el circuito se desplacen 2 moles de electrones. Sin embargo, para depositar un mol de plata solo se necesita un mol de electrones.

2.- Cantidad de carga eléctrica que se utiliza en la electrolisis

Recordar que la carga eléctrica que circula es igual al producto de la intensidad de corriente por el tiempo. La carga eléctrica se mide en culombios, la intensidad de corriente en amperios y el tiempo en segundos.

Q (C) = I (A) · t (s)

Por ejemplo, si circula una corriente de 1 A durante una hora (3600 s)

Q = 1 A · 3600 s = 3600 C

A continuación basta recordar que la carga eléctrica de un mol de electrones es 1 F (faraday)

1 F = 96486 C

EJEMPLO

¿Cuál es la masa de cobre que se deposita en la electrolisis de una disolución acuosa de sulfato de cobre (II) si se utiliza una corriente eléctrica de 1,62 A durante 1 hora?